(3) 国際収支の動向


  52年度の国際収支(IMF方式)をみると,総合収支では,121億4,500万ドルの黒字となった。これは,過曇最高であった46年度の1.5倍という史上最高の大幅黒字である。なかでも貿易収支は,一部業種にみられた円相場の高騰に起因するドル建て輸出価格の引き上げ等により輸出額(ドルベース)が大幅に増加し,一方,国内需要の不振による鉱工業生産の伸び悩み等から輸入が伸び悩み,203億3,500万ドルの大幅黒字となった。また,貿易外収支は,運輸収支の赤字を中心として59億2,200万ドルの赤字と前年度並みにとどまった。この結果経常収支は139億9,600万ドルの大幅黒字となった。一方,長期資本収支は,円建外債の増加による本邦資本の流出拡大などにより24億4,100万ドルの赤字と赤字幅は拡大した。
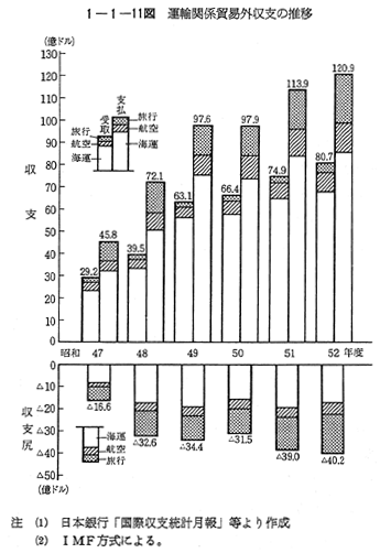
  次に,運輸関係貿易外収支の推移を47年度以降でみると, 〔1−1−11図〕のとおり,収支は海運,航空,旅行のいずれにおいても各年度赤字となっている。52年度は,40億2,000方ドルの赤字と前年度に比べわずかに赤字幅が拡大した。

  このうち,海運収支についてみると,17億6,600万ドルの赤字と前年度に比べ1億7,500万ドル赤字幅が縮小したが,貨物運賃の黒字幅が3億6,900万ドル拡大したことによるところが大きい。これは,輸入では外国船の輸送量が大幅に増加したにもかかわらず,低迷した海運市況を反映してタンカー等の運賃水準が低下していること等から,貨物運賃支払が前年度に比べ大きく減少したこと,また,輸出では我が国商船隊の輸送量が減少したにもかかわらず,定期船部門の好調に加え,自動車専用船等の運賃水準が上昇したこと等から,貨物運賃受取が大幅に増加したことによるものと考えられる。一方,港湾経費(港費,船用油費等)をみると,船用油その他諸経費の上昇により1億1,200万ドル赤字幅を拡大し,用船料も外国用船の増加による支払の増加から9,500万ドル赤字幅を拡大した。
  航空収支は,4億8,500万ドルの赤字で前年度に比べ1,800万ドル赤字幅が拡大した。これは,貨物運賃及び港湾経費(燃油費,空港使用料等)は収支が前年度より改善したものの,従来から赤字の中心である旅客運賃の赤字幅が前年度より4,900万ドル拡大したためである。旅客運賃の赤字幅が拡大したのは,日本人海外旅行者数の増加量が入国外客数の増加量を大幅に上回っており,一方,我が国航空企業の横取比率がそれ程増加しなかったことから,支払に計上される外国航空企業利用の日本人海外旅行者数の増加量が,受取に計上される我が国航空企業利用の外客数のそれを上回ったためである。もっとも我が国航空企業の積取比率が前難度に比べ2.0ポイント増大したことを反映して,伸び率では受取(前年度比17.4%増)が支払(同12.0%増)を上回っている。
  最後に,旅行収支は,日本人海外旅行者の増加に伴って支払が増加したこと等から,17億7,300万ドルの赤字と前年度に比べ赤字幅を2億8,200万ドル拡大した。
  また,旅行収支のうち,観光旅行は10億9,500万ドル,業務その他は6億7,800万ドルのそれぞれ赤字であった。


表紙へ戻る 目次へ戻る 前へ戻る